国科大高级人工智能期末复习(一)—— 搜索
先看老师画的重点👉2025年复习课重点原视频👈
状态搜索
状态搜索是搜索最基本的类型。它通过在状态空间中的初始状态出发,按照一定的顺序和条件对空间中的状态进行遍历,最终找到目标状态。
树搜索
1. 核心定义
将状态搜索问题抽象为树状层级结构:
- 根节点对应初始状态,所有节点代表具体状态;
- 树枝对应状态转移的动作 / 路径;
- 前沿(Fringe):存储待扩展的节点集合;
- 搜索逻辑:从根节点(初始状态)开始扩展节点,当前沿中出现目标状态时,停止搜索并返回路径。
2.流程
function Tree-Search(problem, fringe) returns 解/失败
fringe ← 加入初始状态节点
loop do
若前沿为空则返回失败
取出前沿首节点
若该节点是目标状态则返回
扩展该节点的所有后继节点,加入前沿
3. 不足
无状态去重机制,同一状态可能重复进入前沿,导致冗余扩展(如迷宫中同一位置被多次探索)
图搜索
1. 核心定义
是树搜索的改进版,新增封闭集(closed)—— 存储已扩展的状态,避免重复探索同一状态。
2.流程
function Graph-Search(problem, fringe) returns 解/失败
closed ← 空集合
fringe ← 加入初始状态节点
loop do
若前沿为空则返回失败
取出前沿首节点
若该节点是目标状态则返回
若该节点状态不在closed中:
将状态加入closed
扩展该节点的所有后继节点,加入前沿
3.不足
可能错过最优解(因为每个节点只搜索一次)
树搜索与图搜索的区别与联系
联系
- 图搜索基于树搜索框架设计,核心流程(初始化前沿、循环取节点、目标测试、扩展节点)与树搜索一致;
- 两者均通过 “前沿” 管理待扩展节点,本质是遍历所有可能状态以寻找目标。
区别
| 维度 | 树搜索 | 图搜索 |
|---|---|---|
| 状态去重机制 | 无封闭集,可能重复扩展同一状态 | 有 closed 集合,避免重复扩展 |
| 空间复杂度 | 较低(无额外存储) | 较高(需存储 closed 集合) |
| 适用场景 | 状态无重复的问题 | 存在重复状态的问题(如路径规划) |
| 搜索效率 | 可能因冗余扩展降低效率 | 因去重机制效率更高 |
搜索策略评价
评价一个搜索算法,从四个维度进行——完备性、最优性、空间复杂度、时间复杂度
- 完备性:只要问题有解,算法能不能一定找到?(比如找钥匙,能不能保证找到,不管钥匙藏在哪)
- 最优性:找到的解是不是 “最好的”?(比如找最短路径,能不能找到距离最短 / 代价最小的)
- 时间复杂度:找解要花多久?(用 “搜索的节点数” 衡量,节点越多越慢)
- 空间复杂度:找解要占多少内存?(用 “同时记住的节点数” 衡量,记的节点越少越省内存)
传统基础搜索
这类算法只知道 “初始状态、目标状态、能做什么动作”,不知道 “当前状态离目标多远”,像瞎摸一样找路。
深度优先搜索DFS
不具备完备性、最优性,但空间复杂度良好
- 优点:空间复杂度低。只需要记当前路径上的节点,不用记所有探索过的节点(比如迷宫里只记 “现在在哪、走过哪些岔路”)。
- 缺点:① 不完备:如果迷宫有无限长的路,会一直走下去,永远找不到出口;② 不最优:可能找到一条绕远的路就停了,没机会找更短的。
广度优先搜索BFS
具备完备性、最优性,但空间复杂度很高
- 优点:① 完备性:只要有出口,一定能找到(不会漏层);② 最优性:如果每步代价相同(比如每段路距离一样),找到的一定是最短路径(步数最少)。
- 缺点:空间复杂度极高!要记所有已经探索过的 “层”,节点多了会占满内存(比如迷宫大了,要记上百个岔路)。
改进搜索
迭代深入搜索
结合DFS的空间优势和BFS的时间优势,先做 “深度限制为 1 的 DFS”(只走 1 步就回头),没找到就做 “深度限制为 2 的 DFS”,依次增加深度,直到找到目标。
代价一致搜索(Dijkstra 算法)
找路时,不看走了多少步,只看从起点到当前节点的 “总距离”,总距离最小的节点先探索。比 BFS 更通用,适合 “每步代价不同” 的情况,如果每步代价相同,代价一致就和 BFS 一样。
启发式搜索——A*算法
传统搜索没有考虑本身信息,不会用 “当前节点离目标有多远” ,就像没导航找路,瞎转悠。启发式搜索会用 “导航”(启发式函数),效率大幅提升。
A * 算法是启发式搜索的最优算法,核心目标是 “在初始状态到目标状态的所有可能路径中,高效找到代价最小的最优路径”。它不像盲搜(BFS/DFS)那样 “瞎转悠”,而是通过 “已走的实际代价 + 到目标的估计代价” 综合判断节点优先级,既保证最优性,又大幅提升搜索效率,相当于 “带精准导航的找路算法”。
首先先由一个例子介绍一下A*算法的执行过程,再证明其最优性。

A*算法涉及3个函数,其中,最终决定下一步走哪里的是f(n)
- g(n):从初始节点到当前节点 n的实际代价(固定值,路径确定则 g (n) 唯一);
- h(n):从当前节点 n到目标节点的估计代价(启发函数,决定 A * 效率与最优性);
- f(n):从初始节点经 n 到目标的总代价估计,A * 每次优先扩展 f (n) 最小的节点。
算法执行过程

目标:从城市 Arad 到 Bucharest 的最优路线。
为了实现这个目标,需要维护一个优先队列,该队列按节点的f值升序排列,当前对头即为下一步需要处理的节点。还需要维护一个关闭列表,记录已经遍历过的节点,
- 优先队列(fringe):存储待扩展节点,按 f (n) 升序排列
- 初始队列:[Arad(g=0,h=366,f=0+366=366)]
- 关闭列表(closed):存储已扩展节点,初始为空
- 逻辑:初始节点 Arad 无前置路径,g=0,h=366(Arad 到 B 的直线距离),f=366 为当前唯一节点。

- 选中节点:队列中 f 最小的 Arad,将其加入关闭列表(closed={Arad})
- 扩展 Arad 的 3 个邻居,计算每个邻居的 g、h、f:
- Zerind(Z):g=Arad 的 g+75=0+75=75;h=374(Z 到 B 的直线距离);f=75+374=449
- Sibiu(S):g=0+140=140;h=253(S 到 B 的直线距离);f=140+253=393
- Timisoara(T):g=0+118=118;h=329(T 到 B 的直线距离);f=118+329=447
- 更新队列(按 f 升序):[Sibiu(393)、Timisoara(447)、Zerind(449)]

- 选中节点:队列中 f 最小的 Sibiu,加入关闭列表(closed={Arad、Sibiu})
- 扩展 Sibiu 的 4 个邻居(Arad 已在 closed,跳过):
- Fagaras(F):g=140+99=239;h=176(F 到 B 的直线距离);f=239+176=415
- Oradea(O):g=140+92=232;h=380(O 到 B 的直线距离);f=232+380=612
- Rimnicu Vilcea(R):g=140+80=220;h=193(R 到 B 的直线距离);f=220+193=413
- 更新队列(按 f 升序):[Rimnicu Vilcea(413)、Fagaras(415)、Timisoara(447)、Zerind(449)、Oradea(612)]

- 选中节点:队列中 f 最小的 Rimnicu Vilcea,加入关闭列表(closed={Arad、Sibiu、Rimnicu Vilcea})
- 扩展 Rimnicu Vilcea 的 3 个邻居(Sibiu 已在 closed,跳过):
- Pitesti(P):g=220+97=317;h=100(P 到 B 的直线距离);f=317+100=417
- Craiova(C):g=220+146=366;h=160(C 到 B 的直线距离);f=366+160=526
- 更新队列(按 f 升序):[Fagaras(415)、Pitesti(417)、Timisoara(447)、Zerind(449)、Craiova(526)、Oradea(612)]

- 选中节点:队列中 f 最小的 Fagaras,加入关闭列表(closed={Arad、Sibiu、Rimnicu Vilcea、Fagaras})
- 扩展 Fagaras 的 2 个邻居(Sibiu 已在 closed,跳过):
- Bucharest(B):g=239+211=450;h=0(目标节点 h=0);f=450+0=450
- 更新队列(按 f 升序):[Pitesti(417)、Timisoara(447)、Zerind(449)、Bucharest(450)、Craiova(526)、Oradea(612)]
- 关键:此时 Bucharest 已加入队列,但 f=450 并非当前最小,不选中。

- 选中节点:队列中 f 最小的 Pitesti,加入关闭列表(closed={Arad、Sibiu、Rimnicu Vilcea、Fagaras、Pitesti})
- 扩展 Pitesti 的 2 个邻居(Rimnicu Vilcea 已在 closed,跳过):
- Bucharest(B):g=317+101=418;h=0;f=418+0=418
- 更新队列:此时 Bucharest 有两个路径记录(Fagaras→B:f=450;Pitesti→B:f=418),队列按 f 升序更新为 [Bucharest(418)、Timisoara(447)、Zerind(449)、Bucharest(450)、Craiova(526)、Oradea(612)]
此时继续执行选中节点:队列中 f 最小的 Bucharest(f=418),Bucharest 是目标节点,算法终止
最优路径:Arad→Sibiu→Rimnicu Vilcea→Pitesti→Bucharest,总实际代价 g=418。
为什么A*算法得到的一定是最优解?
对于树搜索和图搜索来说,A*算法得到最优解的条件是不太一样的,树搜索的要求更低一些:

A * 图搜索的最优性条件:启发函数 h (n) 满足 “一致性”

从A*涉及到的三个函数来说,很明显可以看到h(n)是其中最关键的(g(n)是已知条件,f(n)只是用来求和,因此如何设计一个合理的h(n)是最重要的)低估或者高估h(n)都会对算法的性能造成影响。
因此A * 算法要保证找到最优解,核心条件是启发函数 h (n) 满足 “一致性”,具体如下:
-
一致性(Consistency)定义:通俗来说,就是当前节点到目标的估计代价,不能比 “先到相邻节点的实际代价 + 相邻节点到目标的估计代价” 还大。
-
一致性的作用:
- 保证
f(n)沿路径单调不减(f(n') = g(n') + h(n') = g(n') = g(n) + (从n到n'的实际一步代价) + h(n') ≥ g(n)+h(n) = f(n)); - 节点首次被扩展时,
g(n)已是初始到 n 的最小实际代价,无需重复更新; - 目标节点首次被扩展时,其
f(n)=g(n)(h (目标)=0)必为最小总代价,即最优路径。
- 保证
注意:仅满足 “可采纳性”(h (n)≤h*(n),h*(n) 为 n 到目标的实际最小代价)不足以保证图搜索最优,因可能重复扩展节点导致错过最优路径;但 “一致性” 是更强的约束 ——一致的 h (n) 必可采纳,可同时满足图搜索的最优性与效率。
*一致性证明
即证明:保证f(n)沿路径单调不减: f(n') >= f(n)
符号定义与推导如下,不再过多赘述:

f(n') = g(n') + h(n') = g(n') = g(n) + (从n到n'的实际一步代价) + h(n') ≥ g(n)+h(n) = f(n)
证明:树搜索 A * 算法在 h (n) 可采纳时最优
证明该问题前,需要由如下概念引入:
-
可采纳性:启发函数
h(n) ≤ h*(n),其中h*(n)是节点 n 到目标节点的实际最小代价(即 n 到目标的最短路径代价)。 -
最优路径代价:设
C*为初始节点到目标节点的实际最小总代价,G*为最优目标节点(即沿最优路径到达的目标节点,其g(G*)=C*)。 -
子最优目标节点:设
G2为任意非最优的目标节点,(即沿非最优路径到达的目标节点)其g(G2) > C*(即路径代价大于最优值)。 -
f (n) 的定义:
f(n) = g(n) + h(n),其中g(n)是初始节点到 n 的实际路径代价。
A*算法会根据f(n)的值来选择下一个节点,我们需要证明:当 h (n) 可采纳时,树搜索的 A*会优先扩展最优路径上的节点,最终找到最优目标节点 G,而非次最优节点 G2。即f(n) < f(G2)恒成立。
步骤 1:最优路径上始终存在未扩展节点
- 初始时,初始节点在最优路径上,且是未扩展节点。
- 假设某一时刻,最优路径上的节点
n被 A * 扩展:由于树搜索的后继函数会生成n的相邻节点,其中必有一个节点n'仍在最优路径上(否则该路径不是最优),因此n'会被加入待扩展队列,成为新的未扩展节点。 - 结论:在 A * 终止前,最优路径上必然存在至少一个未扩展节点。
步骤 2:最优路径上未扩展节点的 f (n) ≤ C*
设n是最优路径上的任意未扩展节点,需证明f(n) ≤ C*:
- 由于
n在最优路径上,g(n)是初始节点到 n 的实际代价,而g*(n)是初始到 n 的实际最小代价(因 n 在最优路径上,故g(n)=g*(n))。 - 由 h (n) 的可采纳性(
h(n) ≤ h*(n)),h*(n)是n到 G * 的实际最小代价。 - 因此:f(n)=g(n)+h(n)=g∗(n)+h(n)≤g∗(n)+h∗(n)
- 而
g*(n) + h*(n)正是初始节点经 n 到 G * 的实际最小总代价,即C*(最优路径代价)。 - 结论:
f(n) ≤ C*。
步骤 3:次最优目标节点的 f (G2) > C*
设G2是任意次最优目标节点(g(G2) > C*),需证明f(G2) > C*:
- 目标节点的
h(G2)=0(已到达目标,无需再估计代价),因此:f(G2)=g(G2)+h(G2)=g(G2) - 由于
G2是次最优节点,g(G2) > C*,因此:f(G2)=g(G2)>C∗
步骤 4:A会优先扩展最优路径的节点,最终找到 G
A * 的扩展规则是:每次选择待扩展队列中 f (n) 最小的节点。结合步骤 2 和步骤 3 的结论:
- 最优路径上未扩展节点的
f(n) ≤ C*; - 子最优目标节点的
f(G2) > C*。
因此,次最优目标节点 G2 的 f 值,必然大于最优路径上未扩展节点的 f 值。这意味着:A * 会优先扩展最优路径上的节点,而不会先扩展子最优节点 G2。
随着最优路径上的节点不断被扩展,最终会扩展到最优目标节点 G*,此时f(G*) = g(G*) + h(G*) = C* + 0 = C*(是当前最小的 f 值),算法终止。
例如PPT中的例子
最优目标节点 G 指 “通过最优路径到达的 Bucharest”,次最优节点 G2 指 “通过非最优路径到达的同一个 Bucharest”:
- 最优路径:
Arad→Sibiu→Rimnicu Vilcea→Pitesti→Bucharest,C*=418。 - 最优路径上的节点
Sibiu:g(Sibiu)=140,h(Sibiu)=253(可采纳,因253 ≤ 实际到Bucharest的代价),故f(Sibiu)=140+253=393 ≤ 418。 - 子最优路径(如
Arad→Timisoara→Lugoj→Mehadia→Drobeta→Craiova→Pitesti→Bucharest):其目标节点的g(G2) > 418,故f(G2) > 418。
A * 会优先扩展f=393的Sibiu,而非f>418的子最优节点,最终找到最优路径。
最优化搜索
局部搜索不关心从初始状态到目标的 “路径”,只关心 “找到最好的状态”
1. 爬山搜索:“贪心爬楼梯”
- 通俗理解:从当前状态出发,选 “最好的邻居状态”(比如 8 拼图中,离目标布局更近的),一直往上爬,直到 “没有更好的邻居”(到顶了)。
- 优点:简单、省内存。
- 缺点:容易困在 “局部最高点”(比如爬了个小土坡,以为是山顶,其实旁边有更高的山),不完备、不最优。
2. 模拟退火:“允许偶尔下坡的爬山法”
- 通俗理解:像金属退火时 “先高温软化,再低温定型”,搜索初期允许 “选差一点的邻居”(下坡),避免困在局部最高点;后期慢慢不允许下坡,专注找全局最优。
- 优点:比爬山法更容易找到全局最优。
- 例子:找函数最大值,爬山法可能卡在小山峰,模拟退火会偶尔 “往下走一步”,再找到更高的山峰。
3. 遗传算法:“模拟生物进化”
- 通俗理解:把每个 “状态” 看成 “生物个体”(比如 8 皇后的布局是一个个体),多个个体组成 “种群”。通过 “繁殖(交叉)、变异” 产生新一代个体,再留下 “适应度高”(比如不冲突的皇后对多)的个体,逐代进化,直到找到最优个体。
- 核心步骤:
- 编码:把状态变成 “染色体”(比如 8 皇后用 8 位数字表示每列皇后的行号)。
- 适应度函数:判断个体好不好(比如 8 皇后中,不冲突的皇后对数量)。
- 遗传操作:
- 交叉:两个优秀个体交换部分 “基因”(比如两个布局交换后 4 列的皇后位置)。
- 变异:偶尔改变一个 “基因”(比如随机改一列皇后的行号)。
- 优点:适合复杂的优化问题(比如卫星天线设计、高铁车头形状优化),能找到全局最优。
所有搜索算法核心对比表

例题

w = 0,f(n) = 2 * g(n) ,此时相当于只关注当下;w = 2,f(n) = 2 * h(n) ,此时相当于只关注目标。


1、可采纳(admissible):小于等于即B到G的最短路程
- 路径 B→C→D→F→G:1+3+3+5=12
- 路径 B→C→D→G:1+3+9=13
- 路径 B→D→F→G:5+3+5=13
- 路径 B→D→G:5+9=14
因此,0≤h(B)≤12
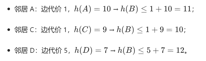
2、一致(consistent):当前节点到目标的估计代价,不能比 “先到相邻节点的实际代价 + 相邻节点到目标的估计代价” 还大。

因此,0≤h(B)≤10
3、
